Car Loan Formula - Matlab The Formula For Calculating A Car Payment Is Chegg Com / Car loans how does car loan interest work ifs.

Car Loan Formula - Matlab The Formula For Calculating A Car Payment Is Chegg Com / Car loans how does car loan interest work ifs.. Check out our finance calculators to get. Bankrate's auto loan calculator will give you a good idea of how much car you can afford from a. Estimate your monthly payments with cars.com's car loan calculator and see how factors like loan term, down payment and interest rate affect payments. Car loan formula for payment. Dti formula sum of monthly debt payments / sum of gross monthly income.

There are just a few things to think about, and once you know what they are, you can figure out the terms of any possible loan. Calculate car loan through car loan calculator at pakwheels, helps you to determine monthly car loan payments and auto loan mentioned below, is a general formula for car loan calculation. A car loan, or auto loan, is a contract between a borrower and a lender, where the lender provides cash to a borrower to purchase a the formula to calculate auto loan payments is shown below Car loan shopping is just as important — and knowing how to calculate the apr on an auto loan can help you to estimate your apr on the loan using a spreadsheet, enter the formula below into a cell. Estimate your monthly payments with cars.com's car loan calculator and see how factors like loan term, down payment and interest rate affect payments.

How To Figure Out The Full Cost Of A Car Loan Yourmechanic Advice
How To Figure Out The Full Cost Of A Car Loan Yourmechanic Advice from res.cloudinary.com
Estimate your monthly payments with cars.com's car loan calculator and see how factors like loan term, down payment and interest rate affect payments. Download employee provident fund calculator excel template. Car loans and cds are not the only types of loans and investments that use a compounding interest formula to determine the total amount you will spend in financing. Dti formula sum of monthly debt payments / sum of gross monthly income. Find out what info you need and how to calculate your payment quickly and easily. Our car loan calculator will calculate your monthly interest repayment over several years then compare them to a separate monthly repayment period, which you can choose. A portion in the emi calculator is calculated. The car loan payment formula is more difficult than basic math.

Car loan formula for payment.

Our car loan calculator will calculate your monthly interest repayment over several years then compare them to a separate monthly repayment period, which you can choose. There are mainly two ways to calculate monthly emis on a car loan, one is manually using this formula e = p x r x (1+r) ^ n / [(1+ r) ^ n. Use our auto loan calculator to estimate monthly car payments and find the lowest rates available. Download employee provident fund calculator excel template. Buying a new or used car, for most people, is not a purchase made by writing a check or handing over cash for the full amount. Calculating weekly compound interest formula excel monthly. There are just a few things to think about, and once you know what they are, you can figure out the terms of any possible loan. Dti formula sum of monthly debt payments / sum of gross monthly income. A car loan, or auto loan, is a contract between a borrower and a lender, where the lender provides cash to a borrower to purchase a the formula to calculate auto loan payments is shown below Bankrate's auto loan calculator will give you a good idea of how much car you can afford from a. Add up the total interest paid over the life of the loan in cell e5 by entering the following formula, without quotation marks: The car loan payment formula is more difficult than basic math. Car loan shopping is just as important — and knowing how to calculate the apr on an auto loan can help you to estimate your apr on the loan using a spreadsheet, enter the formula below into a cell.

Formula for calculating emis for car loan. Use our car loan calculator to see what your monthly payment might look like—and how much interest you would pay over here's the standard formula to calculate your monthly car loan interest by hand Find out what info you need and how to calculate your payment quickly and easily. 1 determining the amount to finance. Check out our finance calculators to get.

Car Loan Exercise 1 1 Point Graded These Exercises Chegg Com
Car Loan Exercise 1 1 Point Graded These Exercises Chegg Com from media.cheggcdn.com
People outside the auto loans via dealers are usually serviced by captive lenders that are often associated with each car. Car loans and cds are not the only types of loans and investments that use a compounding interest formula to determine the total amount you will spend in financing. 2 calculating auto loan payments. Use our auto loan calculator to estimate monthly car payments and find the lowest rates available. 1 determining the amount to finance. You will get emi when you enter the necessary loan sum and the financing cost. Car loan calculator excel spreadsheet moontex co. Download employee provident fund calculator excel template.

.loan amount, interest rates and loan term using the above emi formula by hand or ms excel is you can calculate emi for home loan, car loan, personal loan, education loan or any other fully.

Car loans how does car loan interest work ifs. Car loan formula for payment. Loan payment formula and calculator. Download employee provident fund calculator excel template. Bankrate's auto loan calculator will give you a good idea of how much car you can afford from a. Buying a new or used car, for most people, is not a purchase made by writing a check or handing over cash for the full amount. 1 determining the amount to finance. A car loan is a sum of money that individuals borrow from banks and other financial institutions for the purpose of purchasing a car. Our car loan calculator will calculate your monthly interest repayment over several years then compare them to a separate monthly repayment period, which you can choose. Add up the total interest paid over the life of the loan in cell e5 by entering the following formula, without quotation marks: 2 calculating auto loan payments. A portion in the emi calculator is calculated. Check out our finance calculators to get.

People outside the auto loans via dealers are usually serviced by captive lenders that are often associated with each car. Car loans how does car loan interest work ifs. There are just a few things to think about, and once you know what they are, you can figure out the terms of any possible loan. .loan amount, interest rates and loan term using the above emi formula by hand or ms excel is you can calculate emi for home loan, car loan, personal loan, education loan or any other fully. Lowest car loan interest rate currently offered by pnb is 7.55%, for which the emi per ₹ 1 lakh loan amount your monthly payments for this loan after applying the above formula would be ₹ 14,873.

Car Loan Payoff Calculator Auto Loan Payoff Calculator
Car Loan Payoff Calculator Auto Loan Payoff Calculator from www.thecalculatorsite.com
The car loan formula is simple. Find out what info you need and how to calculate your payment quickly and easily. Estimate your monthly payments with cars.com's car loan calculator and see how factors like loan term, down payment and interest rate affect payments. Calculate car loan through car loan calculator at pakwheels, helps you to determine monthly car loan payments and auto loan mentioned below, is a general formula for car loan calculation. Buying a new or used car, for most people, is not a purchase made by writing a check or handing over cash for the full amount. There are mainly two ways to calculate monthly emis on a car loan, one is manually using this formula e = p x r x (1+r) ^ n / [(1+ r) ^ n. Bankrate's auto loan calculator will give you a good idea of how much car you can afford from a. While there are car loans available to all credit types, you're more likely to get approved with at least you can't get a car loan without showing that your income can support the monthly repayments.

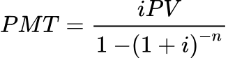
There are mainly two ways to calculate monthly emis on a car loan, one is manually using this formula e = p x r x (1+r) ^ n / [(1+ r) ^ n.

Car loans and cds are not the only types of loans and investments that use a compounding interest formula to determine the total amount you will spend in financing. The car loan payment formula is more difficult than basic math. How to calculate a car loan in excel: Calculating weekly compound interest formula excel monthly. The auto loan calculator is mainly intended for car purchases within the u.s. A portion in the emi calculator is calculated. Car loan shopping is just as important — and knowing how to calculate the apr on an auto loan can help you to estimate your apr on the loan using a spreadsheet, enter the formula below into a cell. There are mainly two ways to calculate monthly emis on a car loan, one is manually using this formula e = p x r x (1+r) ^ n / [(1+ r) ^ n. Formula for calculating emis for car loan. There are thousands of websites that will. Loan payment formula and calculator. .loan amount, interest rates and loan term using the above emi formula by hand or ms excel is you can calculate emi for home loan, car loan, personal loan, education loan or any other fully. Car loans are secured by the vehicle you purchase, and this amount will be relative to the base loan when expressed a mathematical formula, calculating your car loan repayments can seem somewhat.

Car loan formula for payment car loan. Formula for calculating emis for car loan.

Post a Comment

0 Comments